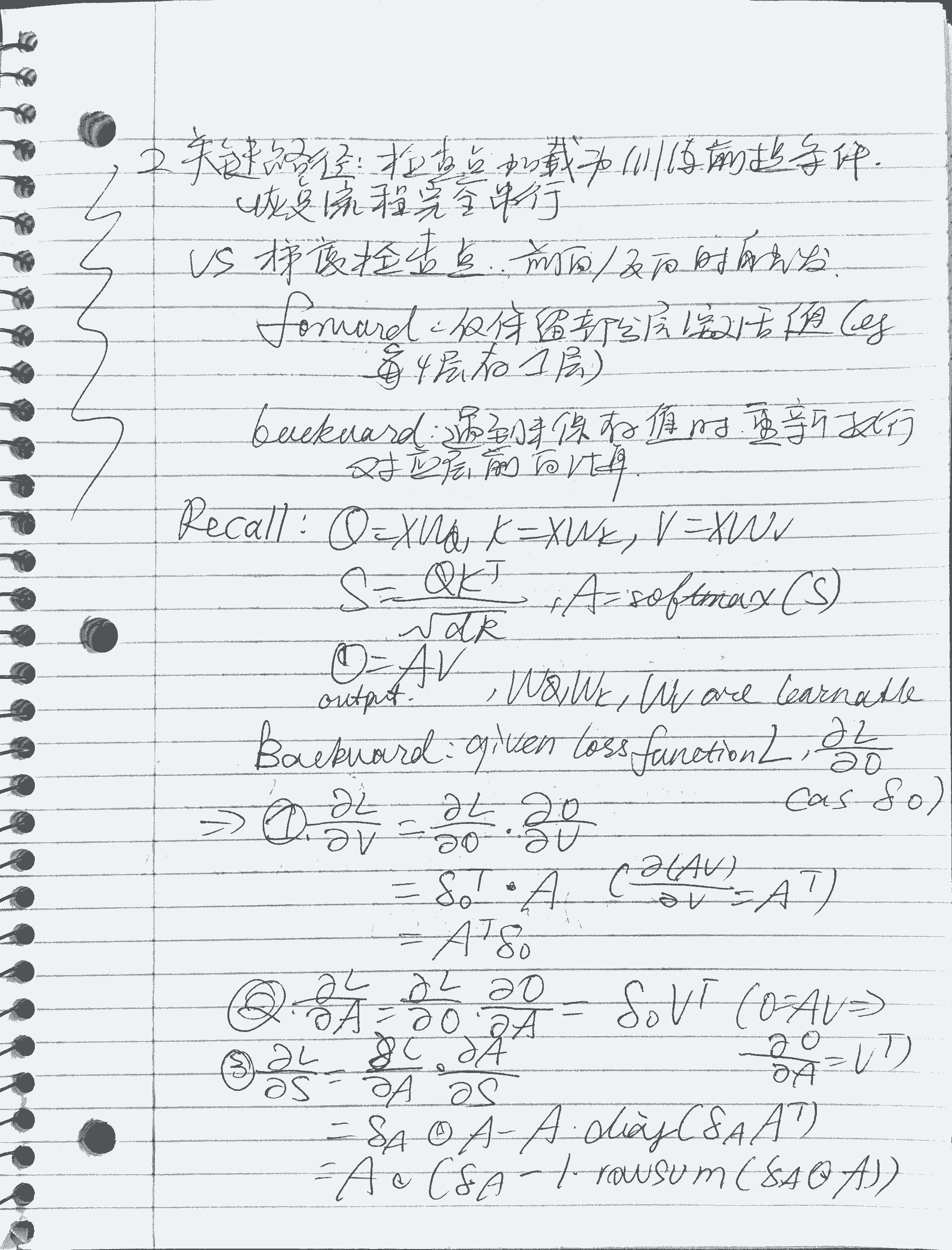
Oobleck:大模型分布式训练的容错革命

发布于 作者: Insu Jang et al.